作者:紅星機器時間:2010-10-10更新時間:2010-10-10
如果您想了解我們的產品,可以隨時撥打我公司的銷售熱線或點擊下方按鈕在線咨詢價格!
立即撥打電話享更多優惠:0371-67772626
一經驗球徑公式是在大量試驗資料或生產資料的基礎上總結出來的數學模型。此種方法對于影響因素錯綜復雜而在理論上難于取得進展的球磨過程來說,仍不失為一種有用的方法。此類方法得出的公式其可貴之處在于它來源于實踐而高于實踐,既有可靠性也有實用性。在這以前的漫長歲月中,選礦工作者也正是利用這些經驗球徑公式加上自己的經驗來解決磨機的球徑,解決問題的。

但是,從球徑經驗公式產生的方法上不難看出它有自身的局限性,而且有較大的誤差。盡管試驗資料或生產資料是豐富的,但也仍然是有限的,或者是試驗和生產的設備規格以及形式有限,或者是試驗和生產的礦石種類有限,也或者是試驗次數和生產時間有限,總之,資料的來源是有限的。這樣,在有限的資料上總結出來的模型其使用范圍也必然是有限的,跨越這個有限的范圍也就失去可靠性。因此,經驗公式一旦跨出總結它時所依據的資料范圍,就必然產生大的誤差。
即使對同樣的試驗和生產資料,不同的研究者采用的數學處理方法有別,因而得出的數學模型不相同,計算出的球徑結果也不相同。另外,球徑經驗公式中均帶有經驗修正系數,不同的研究者根據各自的經驗,所取的經驗系數值不相同,自然算出的球徑結果也不相同。
上述分析表明,研究者在什么條件下總結出來的經驗球徑公式適用于總結它時所限定的條件,如若把它推廣應用,與限定的條件不同時必然產生較大誤差,還必須再對它進行經驗修正。認識經驗公式的局限性是必要的,而針對局限性進行經驗修正也是必要的,否則將產生較大的誤差。
下面以我國選礦界常用的K.A拉蘇莫夫經驗球徑公式的應用來說明經驗公式的局限性與誤差問題。
K.A拉蘇莫夫根據某些平均條件提出,磨礦所需的鋼球直徑Db與給礦粒度d的n次方成比例,若比例系數為i,則得:
Db=idn (5-14)
顯然,不同的磨礦條件有不同的i及n值,對每個具體的磨礦條件都必須用實驗方法求出i及n值,然后才能運用公式(5-14),這就是此公式的局限性。公式(5-14)的求解,必須對具有兩個方程式的方程組求解,兩個方程式才能求解兩個未知數。假設給礦粒度d1通過試驗求出需要的球徑是Db1,則得一個方程式:
Db1=idn1 (5-15)
再設給礦粒度d2通過試驗求出需要的球徑是Db2,則又得另一個方程式:
![]()
聯立方程式(5-15)和(5-16),并求解此方程組的i和n:

![]()
將式(5-17)代入式(5-16)得:
![]()
式(5-18)變換得:
![]()
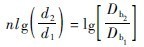
式(5-19)兩邊取對數得:
![]()
即得:![]()
式中(5-20)中,d1,d2,Db1和Db2均是已知數,故n可以求出。n值求出后返回代入式(5-17),則i也可求出。
求出i及n后,就得出該特定條件下的球徑D與給礦粒度d之間的通式:
Db=idn
也就可以由此通式計算該特定條件下各給礦粒度所需的球徑。如果磨礦條件改變,必須采用同樣的方法找出新的通式。這是此公式的局限性,不能跨越求解方程時的特定條件去使用。
此公式的問題在于,以粒度d1和d2進行試驗,則得到的公式通式在d1-d2范圍內應用時較為準確,若超過d1-d2范圍應用時必然產生較大誤差,因為巖礦的力學強度是隨粒度變細而加大的。例如d1和d2的試驗通常在實驗室內進行,所用的給礦粒度通常在5mm以下,粒度較細,礦粒力學強度較高。而試驗得出的通式,其參數是在d1和d2范圍內求出的,如果推廣用于d=10-25mm范圍,求出的球徑必然是偏大的,因為10-25mm礦塊的力學強度比5mm及以下明顯地小,則計算粗塊下所需的球徑必然偏大。例如,有人用5和3mm粒級在實驗室做試驗,求出i和n后得通式,再用通式計算25mm礦塊所需的球徑是
125mm自己修正后的球徑半理論公式計算,只需
100mm就足夠了。通過一年的工業試驗,證明采用就足夠了。通過一年的工業試驗,證明采用100mm鋼球比
125mm鋼球好得多。說明原來計算的球徑是偏大的。這就是拉蘇莫夫球徑公式產生誤差的原因所在。
由于K.A拉蘇莫夫公式Db=idn需要做試驗確定參數i和n,使用較麻煩。他又提出,對中硬礦石可以直接使用簡便計算公式:
![]()
f=8-16范圍的均算中硬礦石,f=16的礦石的強度為f=8的礦石的兩倍,但計算用的同一公式,哪會有不產生較大誤差的道理?而且,該簡化公式廣泛用于中硬礦石不同磨礦條件,產生的誤差必然比公式(5-14)的更大。
下一篇:球磨機——試驗確定球徑的方法