作者:紅星機器時間:2013-06-09更新時間:2018-10-11
如果您想了解我們的產品,可以隨時撥打我公司的銷售熱線或點擊下方按鈕在線咨詢價格!
立即撥打電話享更多優惠:0371-67772626
機架是圓錐破碎機零部件的安裝基礎,在設計機架時,要保證它有足夠的強度、剛度和幾何尺寸的精確度,才能保證圓錐破碎機各零部件的正常運轉,使破碎機達到設計的技術要求。

紅星圓錐破碎機延續高破碎量高配置路線,它設計時,要求機架套筒的中線與上部法蘭的水平面或與球面軸承的水平面之間的垂直度,以及套筒的中線與傳動軸架中線之間的垂直度在0.1~0.3mm之間。設計機架內部筋板,要特別注意不要影響排礦。
機架一般都是鑄鋼材料制成的,機架的幾何尺寸可參考已有實際資料確定。在保證強度、剛度的條件下,應盡量減輕它的質量。設計時,也要聽取長期使用破碎機用戶的意見和經驗,對存在的問題在新設計中應得到解決,使新設計的破碎機在原有基礎上有所改進、創新和發展。
根據對中部靜強度和剛度分析可知:對連續給礦的工況,在豎肋外表面與底部法蘭的交點處產生的應力也很大。對有過大礦塊的工況,在上部法蘭附近產生的應力很大,此處是危險點,其他部位應力比較低。因此,設計破碎機中部機架可減小或去掉機架豎肋和環肋。

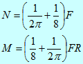
機架法蘭處危險截面的強度可采用簡化計算方法計算。經對下架體內力的分析,可求得內套的軸力N和彎矩M為:
…………①
對下架體(外殼)的軸力N和彎矩M為:
…………②
式①和②中,F是破碎力,計算時應取其值;rm是內套壁厚的中性半徑;R是筒體的中性半徑。根據軸力N和彎矩M可求得應力,并應小于許用應力值。圓錐破碎機機架材質一般都采用鑄鋼件。
此外,應有限元法來分析機架各部應力的分布于大小,之后再進行試驗驗證,這樣可以很準確地確定機架合理的結構尺寸,從而可能在保證機架有可靠的強度和剛度條件下,減輕它的質量。
上一篇:如何制定回轉窯的升溫曲線?