作者:紅星機器時間:2010-10-09更新時間:2010-10-09
如果您想了解我們的產品,可以隨時撥打我公司的銷售熱線或點擊下方按鈕在線咨詢價格!
立即撥打電話享更多優惠:0371-67772626
粒群在介質中沉降時,若容積濃度小于和等于0.03或3%,顆粒受到的干涉作用很小,可忽略不計,此時的沉降視為自由沉降。容積濃度大于0.03時的沉降為干涉沉降,且濃度越大,干涉作用越強。
顆粒在靜止介質中的自由沉降
A、球形顆粒
球形顆粒在靜止介質中沉降時受到的重力G為:
![]()
式中:G———顆粒在介質中受到的重力,N;
d———顆粒的直徑或粒度,m;
———相應為顆粒和介質的密度,kg/m3;
m———顆粒的質量,kg;
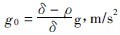
g———重力加速度,m/g2 ;
g0———顆粒在介質中的重力加速度![]()
球形顆粒沉降時受到的介質阻力R為:

式中:R——介質阻力,N;
———阻力系數,無因次;
v———顆粒的沉降速度或顆粒相對于介質的運動速度,m/s;
Re———雷諾數,無因次參數;
u———介質的粘度或動力粘度,Pa.s。
公式(4-3)稱為介質阻力通式,但由公式(4-4)先求出
值,才能解出R。里萊(L.Rayleigh)用試驗法作出的
=(Re)由線如圖3-4-1所示。用此曲線,先按公式(4-5)算出Re值,再在圖上找到與其對應的
值,代入公式(4-3)中,就可求出介質阻力R。

表3-4-1適于各Re范圍的介質阻力公式

表3-4-2球形顆粒自由沉降的末速度公式及其適用范圍

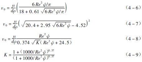
適于Re=10-3范圍內求v0的通解公式,是根據Re2
=f(Re)的關系求出的。已經提出多個,下面為其中較可靠的三個:

式中,參數Re2
按下式求出:
![]()
G由(4-1)式求出:
![]()
公式(4-6)的誤差不超過
,公式(4-7)的誤差不超過9%,公式(4-8)的誤差則較大述二式小些,但計算較復雜。
B、礦粒
礦粒的形狀是多種多樣的。衡量礦粒的形狀,除根據外形作粗略估計外,常用與礦粒同體積球體的表面積A0與礦粒表面積Am之比值來表示,稱之為礦粒的球形系數w,即
![]()
某些形狀顆粒的球形系數見表3-4-3。
表3-4-3礦粒的球形系數

礦粒的粒度,理論上多以同體積球體之直徑來表示,即
![]()
式中:dv———礦粒的體積當量直徑,m;
V ———礦粒的體積,m3。
另一種表示方法是用與礦粒等表面積的球體之直徑表示,即
![]()
式中:da——表面積當量直徑;
A——礦粒的表面積,m2。
事實上,礦粒的粒度常用篩析、水析和顯微鏡法來測定。但這幾種方法測出的粒度上述的dv和da,相互之間很難作出精確的換算。礦粒在介質中受到的重力G寫成為:
![]()
礦粒在介質中沉降時受到的介質阻力,因受形狀和運動時取向變化的影響,過程中是變化不定的。故所討論的介質阻力以平均值計。介質阻力也可通過作出
=f(Re)曲線來求出。但礦粒形狀不規則,只能采用有代表性的幾種形狀礦粒,或者用規則形狀的顆粒來進行沉降試驗,作出曲線。圖3-4-2是希爾列爾等人繪出的球體、六八面體、八面體、立方形、四面體和圓盤形顆粒的
a=f(Rea)曲線。其中,

式中:da———顆粒的表面積當量直徑;
和Rea———以da表示顆粒粒度時的阻力系數和雷諾數。

![]()

各種形狀顆粒的自由沉降平均末速度vom也可用下述公式計算:
![]()
式中:pa和pn———形狀修正系數,見表3-4-4,或按下式計算,

在Re=100-2000時;
式中:vom———顆粒自由沉降的平均末速度,m/s;
vo———與顆粒同體積球體自由沉降的末速度,m/s;
p———形狀修正系數,見表3-4-5。
對于礦粒,應用上述公式計算,因形狀不規則,選用形狀修正系數和球形系數,難于做到準確,計算值常存在誤差。表3-4-6列出一些學者用礦粒在水中實測出來的平均自由沉降末速度,供參考。
表3-4-4 規則形狀顆粒的球形系數和形狀修正系數

表3-4-5 各種形狀顆粒的形狀修正系數p

表3-4-6 礦粒在水中自由沉降的平均末速度( d—礦粒的粒度,mm,vo—沉降平均末速度,cm/s)


下一篇:礫磨的給礦及礫磨介質